Wir erforschen den Boden/Halbquantitatives Teststäbchenverfahren
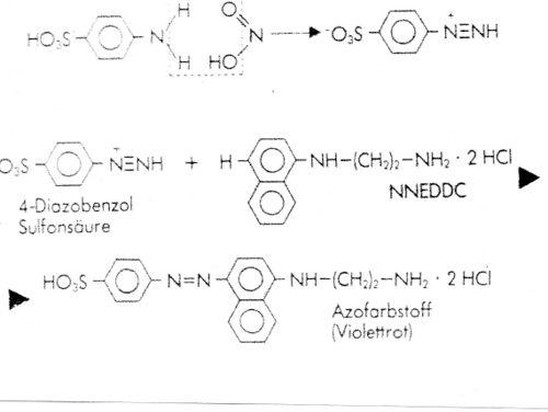
Nitrite reagieren in saurer Lösung mit primären aromatischen Aminen, z.B. Sulfanilamid, H2N-SO2-C6H4-NH2 x HCl, unter Bildung von Diazoniumsalzen. Diese kuppeln mit aromatischen Verbindungen, die eine Amino- oder Hydroxylgruppe enthalten,z.B. N-[Naphthyl(1)-ethylendiamin-dihydrochlorid, zu intensiv rot gefärbten Azofarbstoffen.
Merckoquant - Verfahren/Versuchsdurchführung
Die Teststäbchen werden einige Sekunden in die zu untersuchende wässrige Lösung (Bodenaufschwemmung) getaucht. Nach einer Minute erfolgt ein Farbabgleich. Das Verfahren liefert einen groben Anhaltswert bezüglich des Nitratgehaltes einer wässrigen Lösung (Bodenaufschwemmung).
Hinweise zur Messung nach Angaben des Herstellers
- Nach Ablauf der angegebenen Reaktionszeit kann sich die Reaktionszone weiter verfärben. Dies darf für die Messung nicht berücksichtigt werden.
- Falls erforderlich (Verfärbung der Warnzone), störende Nitrit-Ionen beseitigen:
5 ml Probe (pH < 10) mit 5 Tropfen einer 10 %igen wässrigen Amidoschwefelsäure-Lösung versetzen und mehrfach umschütteln, dann kurz aufkochen und abkühlen lassen. Anschließend Nitrat-Bestimmung wiederholen.
- Entspricht die Farbe der Reaktionszone dem dunkelsten Farbton der Farbskala oder ist sie intensiver, muss die Messung an neuen, jeweils verdünnten Proben wiederholt werden, bis ein Wert kleiner 500 mg/l NO3 - erhalten wird. Beim Analysenergebnis ist die Verdünnung entsprechend zu berücksichtigen.
Erfahrungen und Konsequenzen
Das Verfahren ist einfach in der Handhabung Durch Verdünnung des Bodenauszuges oder einer anderen zu bestimenden nitrathaltigen Lösung kann der Messbereich erweitert werden. Bei humosen Böden wirken die Huminstoffe störend auf die Farbbildung, sodass eine Abgleichung häufig nicht möglich ist.
Der Einfluss von Störionen ist generell zu beachten. Siehe die Angaben des Herstellers!
Weblinks =
Einfache Analyseverfahren
Organische Zusammensetzung
- Humusanteil
- Bakterienkunde
- Lichtmikroskop
- Plattengussverfahren
- Bakterienkeimzahl
- Bodenpilze
- Kohlenstoffdioxidbildung
- Regenwurm
Bodenwasser, -luft, -wärme
Bodenreaktion
