Sinus- und Kosinusfunktion/Übung 2
Übungsstation 2
Folgende App zeigt dir eine Strategie, wie du zu einer beliebigen Sinusfunktion die Parameter a, b, c und d bestimmen kannst.
Präge dir das Vorgehen gut ein!
Strategie: Wie finde ich die Parameter?

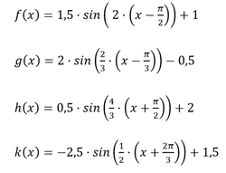
So, nun bist du selbst dran. Hau rein!
| Herzlichen Glückwunsch, du hast den Lernpfad vollständig bearbeitet! Ich hoffe, du hast viel gelernt und dabei Spaß gehabt! |   | 
Für Schnelle gibts hier noch Stoff! :)
Du möchtest wissen, wie die Tangensfunktion aussieht? Bitte hier entlang :)
Zu guter Letzt bitte ich euch noch um einen letzen Gefallen:
Bitte gebt ein Feedback ab, wie euch der Lernpfad gefallen hat, was genau ihr gut findet und was man noch verbessern könnte. Dieses Feedback von euch hilft mir, den Lernpfad weiter zu entwickeln bzw. Ideen und Vorschläge von euch in neue Lernpfade einzuarbeiten. Dankeschön! :)
| Nimm dir bitte kurz Zeit, und gib eine Rückmeldung zum gesamten Lernpfad. | 




