Datei:Zeichnungen 13.jpeg
Aus ZUM-Unterrichten
Zeichnungen_13.jpeg (206 × 50 Pixel, Dateigröße: 4 KB, MIME-Typ: image/jpeg)
| Beschreibung |
Es fehlt noch eine Beschreibung des Inhalts der Datei (Was zeigt die Datei?). Bitte diese Information noch nachtragen.
|
|---|---|
| Quelle |
Es fehlt noch die Quelle für die Datei (Woher hat der Uploader die Datei?). Bitte diese Information noch nachtragen.
|
| Urheber bzw. Nutzungsrechtinhaber |
Es fehlt noch der Urheber bzw. der Nutzungsrechteinhaber für die Datei (Wer hat die Datei ursprünglich erstellt?). Bitte diese Information noch nachtragen.
|
Dateiversionen
Klicke auf einen Zeitpunkt, um diese Version zu laden.
| Version vom | Vorschaubild | Maße | Benutzer | Kommentar | |
|---|---|---|---|---|---|
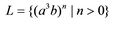
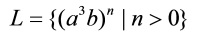
| aktuell | 11:10, 6. Jun. 2017 | 206 × 50 (4 KB) | Unknown user (Diskussion) | {{Information |Beschreibung = Lsg 3.1 |Quelle = selbst erstellt |Urheber = FDM |Datum = |Genehmigung = |Andere Versionen = |Anmerkungen = }} |
Du kannst diese Datei nicht überschreiben.
Dateiverwendung
Die folgende Seite verwendet diese Datei:

