Quadratische Funktionen - Was ist das?
Bisher hast du bereits gelernt, was Funktionen sind und dabei besonders die Linearen Funktionen unter die Lupe genommen. In diesem Lernpfad geht es nun darum Eigenschaften einer weiteren Art von Funktionen zu entdecken. Du hast hier die Möglichkeit, dir selbstständig Wissen über Quadratische Funktionen anzueignen.
Übersicht
Was dich im Laufe dieses Lernpfades erwarten wird:
- Quadratische Funktionen im Alltag
- Quadratische Funktionen kennenlernen
- Die Parameter a und c
- Nullstellen Quadratischer Funktionen
- Anwendung Quadratischer Funktionen
Bevor es losgeht:
Bevor du mit der Bearbeitung des Lernpfades starten kannst, erfährst du hier noch einige Informationen, die dabei Helfen die Übersicht zu bewahren. Außerdem erfährst du welche Lernziele du durch den Lernpfad erreichen wirst.
Infos für die Bearbeitung
Damit du dich in dem Lernpfad leicht zurechtfindest, sind auf dieser Seite einige Informationen zusammengestellt.
Oben auf dem Bildschirm im Inhaltsverzeichnis siehst du eine Aufzählung der Kapitel, die du durchlaufen wirst. Du kannst durch einfaches Anklicken zwischen den Kapiteln hin- und herspringen.
Im Lernpfad triffst du auf folgende Bausteine:
Wichtige Erkenntnisse werden in Merkkästchen zusammengefasst.
Diese solltest du in dein Schulübungsheft übertragen, um dir die Informationen besser merken zu können.Hier sollst du aktiv werden und selbstständig Neues entdecken. Neben klassischen Aufgaben, die du in deinem Heft mit Papier und Stift bearbeiten sollst, können Aufgaben auch in Form interaktiver Applets auftreten. Von GeoGebra-Applets und Zuordnungsaufgaben zu LearningApps wird dir hier eine große Spannbreite begegnen. Genauere Erklärungen stehen bei der jeweiligen Aufgabe.
Die Aufgaben werden dir dabei helfen, die neu gelernten Inhalte selbst anzuwenden.Bei einigen Aufgaben stehen dir außerdem Hilfen und Tipps zur Verfügung, wenn du nicht weiter kommst. Versuche immer zuerst die Lösung alleine herauszufinden, dann kannst du dir die Tipps anschauen. Diese bekommst du durch das Anklicken von:
Wenn du eine Aufgabe gelöst hast, bekommst du sofort eine Rückmeldung, ob dein Ergebnis richtig ist oder nicht. Dies geschieht entweder durch einen entsprechenden Lösungs-Button innerhalb interaktiver Applets oder durch Anklicken von:
Lernziele
Das wirst du lernen:
- Quadratische Funktionen in Wertetabellen, als Graphen und in Termen darstellen und erkennen
- Auswirkungen der Parameter a und c in einem quadratischen Funktionsterm auf den zugehörigen Graphen erkennen und beschreiben
- Graphen quadratischer Funktionen als Parabeln identifizieren und interpretieren
- Nullstellen quadratischer Funktionen berechnen
- Quadratische Funktionsterme interpretieren und mit ihnen rechnen
- Quadratischen Funktionen in anwendungsorientierten Textaufgaben lösen
Ein letzter Hinweis bevor es losgeht!
Du kannst dir die Zeit bei der Bearbeitung der einzelnen Kapitel des Lernpfades selber einteilen. Das heißt einerseits, dass du alle neuen Entdeckungen und Übungen in deinem Tempo durchlaufen kannst, andererseits musst du aber auch selbstständig darauf achten, nicht unnötig zu trödeln und voranzukommen.
Nun kann es losgehen!
Quadratische Funktionen im Alltag
Um uns quadratische Funktionen leichter vorstellen zu können betrachten wir zunächst einige Beispiele, wo quadratische Funktionen im realen Leben vorkommen. So kannst du im Alltag oder auf einem Städtetrip immer wieder bogenförmige Bauwerke und Brücken entdecken. Ich bin mir sicher, dass so derartige Bauwerke auch in deiner Stadt finden kannst.
Auch in der Natur kommen solche Bögen immer wieder vor, so zum Beispiel bei Bergmassiven.
Hier sind einige Beispiele von quadratischen Funktionen, wie sie im im echten Leben auftreten.Aber nicht nur bei Bauwerken oder in der Natur kommen quadratische Funktionen häufig vor. Auch bei vielen Sportarten, sind wir unbewusst mit quadratischen Funktionen konfrontiert.
Ob beim Basketball- oder Fußball spielen ist es möglich vergleichbare Bögen zu entdecken. Achte einmal darauf, wie ein abgeworfener oder abgeschossener Ball durch die Luft fliegt.
Die Bögen auf den Fotos haben alle eine Gemeinsamkeit.
Ihre Form kann man mithilfe von Parabeln modellieren und sie können als quadratische Funktionen dargestellt werden.
Bei dieser Aufgabe sollst du nun selbst eine Quadratische Funktion in deiner Umgebung finden.
a) Suche dazu parabelförmige Bögen in deiner Umgebung. Du kannst bei dir Zuhause suchen oder auch im Park oder in der Stadt suchen. Fotografiere mindestens eine Parabel und notiere dir, wo du sie entdeckt hast und wie sie aussieht (z. B. breit, schmal, nach oben oder nach unten geöffnet).
b) Bring dein Foto in der nächsten Stunde mit und vergleiche sie mit einem Partner. Berichte deinem Partner von deinen Entdeckungen. Sammelt die Orte, Bilder und Beschreibungen in euren Schulübungsheftern.
Quadratische Funktionen kennenlernen
Nachdem wir nun eine bessere Vorstellung darüber haben, wie quadratische Funktionen aussehen können und wo sie auch im Alltag vorkommen, betrachten wir nun die zunächst die einfachste quadratische Funktion mit der Funktionsgleichung .
Für diese Aufgabe benötigst du dein Schulübungsheft.
a) Übernimm die Werte aus der dargestellten Wertetabelle in dein Heft und ergänze sie um weitere Werte, die dir helfen den passenden Graphen in ein Koordinatensystem einzuzeichnen.
b) Zeichne den zugehörigen Graphen in ein Koordinatensystem.
| x | y = f(x) |
|---|---|
| -3 | 9 |
| -2 | 4 |
| 1 | 1 |
| 0 | 0 |
| 1 | |
| 2 | |
| 3 |
Wenn du dir nicht mehr sicher bist, wie du eine Wertetabelle erstellst oder Hilfe beim Einzeichnen in das Koordinatensystem benötigst, kannst du dir dieses Video bis Minute 4 anschauen:
Den Graph dieser quadratischen Funktion nennt man Normalparabel.
Die Normalparabel hat ihren tiefsten Punkt an der Stelle . Dieser Punkt wird Scheitelpunkt genannt.
Die Parabel der Form hat noch zweit weitere besondere Eigenschaften:
- Die Parabel ist nach oben geöffnet.
- Die Parabel ist symmetrisch zur y-Achse.
Wenn du dir die Bilder vom Beginn des Lernpfades noch einmal anschaust, dann fällt auf, dass die abgebildeten Parabeln alle anders aussehen als die gerade kennengelernte Normalparabel. In der Natur und in Anwendungen wird der Funktionsterm der Normalparabel (f(x) = x2) variiert und es entstehen die unterschiedlichsten Parabeln.
Die Normalparabel kann also gestreckt, gestaucht oder auch gespiegelt werden, wodurch sie eine andere Form annimmt.
Um herauszufinden, wie genau sich die bereits kennengelernte Normalparabel der Form verändern kann bist nun du wieder an der Reihe!
Die Parameter a und c
Für diese Aufgabe benötigst du dein Schulübungsheft.
Wie verändert sich der Graph, wenn man statt der Funktion folgende Funktionen gegeben hat:
- (1) , (2) und (3) ?
a) Notiere Vermutungen darüber, wie die Graphen der Funktionen (1), (2) und (3) aussehen könnten. Skizziere die Funktionsgraphen dazu in ein passendes Koordinatensystem.
In dem Applet ist die Normalparabel die du bereits kennengelernt hast grün eingezeichnet. Du kannst mit dem Schieberegler verschiedene Werte für "" eingeben. Dadurch wird der rote Graph verändert.
Klicke auf folgenden Link um zum Geogebra Applet zu gelangen:
https://www.geogebra.org/m/fwjxkegk
Richtige Vermutungen können wie folgt lauten:
1. Die Parabel von Funktion (1) ist im Vergleich zu der Normalparabel schmaler, da die quadrierten x-Werte () durch den Vorfaktor 2 immer verdoppelt werden. Der zugehörige y-Wert wird dadurch größer.
2. Die Parabel von Funktion (2) ist im Vergleich zu der Normalparabel breiter, da die quadrierten x-Werte () durch den Vorfaktor 1/2 immer halbiert werden. Der zugehörige y-Wert wird dadurch kleiner.
3. Die Parabel von Funktion (3) ist im Vergleich zu der Normalparabel "umgedreht", da die quadrierten x-Werte () durch den Vorfaktor -1 immer negative Werte annehmen. Der y-Wert ist also immer negativ.
In dem folgenden Lückentext werden die Erkenntnisse, die du aus Aufgabe 1 mitnehmen konntest, noch einmal ausformuliert. Füge die fehlenden Begriffe und Zahlen in die Lücken.
Wenn a kleiner Null ist (), dann ist die Parabel nach unten geöffnet.
Wenn a größer Null ist (), dann ist die Parabel nach oben geöffnet.
Wenn a zwischen minus Eins und Eins liegt (), dann wird der Graph der Funktion breiter. Man nennt das auch eine gestauchte Parabel.
Wenn a kleiner als minus Eins () oder größer als Eins ist (), dann wird der Graph der Funktion gestreckt. Er ist somit schmaler als die Normalparabel.
Multipliziert man mit einem Faktor a, wird die Parabel gestreckt, gestaucht und/oder gespiegelt. Für (mit a ≠ 0) gilt demnach:
a > 0: Die Parabel ist nach oben geöffnet.
a < 0: Die Parabel ist nach unten geöffnet.
Diese Aufgabe ist nun ein bisschen kniffliger und daher freiwillig. Wenn du allerdings besonders schnell vorankommst oder denkst, dass du noch mehr Übung brauchst um den Parameter a richtig zu bestimmen, kannst du die Aufgabe probieren!
Tipp: Wenn du die Kärtchen mit den Graphen anklickst, werden sie dir vergrößert angezeigt.
Nun hast du bereits herausgefunden, wie sich eine Quadratische Funktion der Form durch Multiplikation mit dem Parameter a verändern lässt.
Die Quadratische Funktion kann zudem durch den Parameter c verändert werden. Inwiefern der Parameter c die Normalparabel verändert, wirst du durch die nächste Aufgabe selbst herausfinden.
Für diese Aufgabe benötigst du dein Schulübungsheft.
Wie verändert sich der Graph, wenn man statt der Funktion folgende Funktionen gegeben hat:
- (1) , (2) ?
a) Notiere Vermutungen darüber, wie die Graphen der Funktionen (1) und (2) aussehen könnten. Skizziere die Funktionsgraphen dazu in ein passendes Koordinatensystem.
In dem Applet ist die Normalparabel die du bereits kennengelernt hast grün eingezeichnet. Du kannst mit dem Schieberegler verschiedene Werte für "" eingeben. Dadurch wird der rote Graph verändert.
Klicke auf folgenden Link um zum Geogebra Applet zu gelangen:
https://www.geogebra.org/m/dzeed7zm
Richtige Vermutungen können wie folgt lauten:
1. Die Parabel von Funktion (1) ist im Vergleich zu der Normalparabel nach oben verschoben, da die x-Werte nach dem quadrieren mit 3 addiert werden.
2. Die Parabel von Funktion (2) ist im Vergleich zu der Normalparabel nach unten verschoben, da die x-Werte nach dem quadrieren mit 2 subtrahiert werden.
Addiert oder subtrahiert man eine Zahl c von , wird die Parabel entlang der y-Achse verschoben. Für gilt:
c > 0: Die Parabel wird entlang der y-Achse nach oben verschoben.
c < 0: Die Parabel wird entlang der y-Achse nach unten verschoben.
Nun versuchen wir die Auswirkungen der beiden Parameter a und c zu verbinden.
Für diese Aufgabe benötigst du dein Schulübungsheft.
Zeichne folgende quadratische Funktionen in geeignete Koordinatensysteme.
- (1) , (2) und (3) ?
Jede quadratische Funktion der Form ist symmetrisch zur y-Achse.
Der Scheitelpunkt hat demnach die Koordinate S = (0|c)
a = - 0.2
c = 5Wir haben die Parameter a und c genauer untersucht, und herausgefunden wie sie die Quadratische Funktion verändern. Um zur allgemeinen Funktionsgleichung zu gelangen, fehlt uns noch der Parameter b. Welchen Einfluss dieser auf den Graphen einer quadratischen Funktion hat, kannst du erneut in folgender Geogebra Datei selbst erkunden.
Klicke auf folgenden Link um zum Geogebra Applet zu gelangen:
https://www.geogebra.org/m/svmwzgzg
Die auf dieser Seite gewonnen Erkenntnisse können kombiniert werden und ergeben die allgemeine Funktionsgleichung einer quadratische Funktion der Form . Diese Form heißt Normalform.
Wir haben zu Beginn dieses Lernpfads bereits den Begriff des Scheitelpunktes kennengelernt. Wir können nun nicht nur von der Normalparabel, sondern von jeder beliebigen quadratischen Funktion den Scheitelpunkt bestimmen.
1)
Scheitelpunkt A = (2|- 4)
Scheitelpunkt B = (2|1)
Scheitelpunkt C = (- 2|- 2)
2)
Ob eine Funktion einen Hoch- oder Tiefpunkt besitzt, hängt vom Parameter a ab.
Wenn a > 0 ist die Parabel nach oben offen. Dadurch hat die Funktion einen Tiefpunkt als Scheitelpunkt.
Wenn a < 0 ist die Parabel nach unten offen. Dadurch hat die Funktion einen Hochpunkt als Scheitelpunkt.Der Scheitelpunkt ist abhängig vom Parameter a entweder ein Hoch- oder Tiefpunkt.
Den Scheitelpunkt kann man nicht nur vom Funktionsgraphen anlesen. Mann kann ihn auch mit folgender Formel berechnen.
Suche dir eine*n Partner*in um die folgende Aufgabe gemeinsam zu bearbeiten. Überprüft, welche der folgenden Aussagen korrekt sind.
Notiert die richtige(n) Aussage(n) anschließend in den Schulübungsheft!
Nullstellen
Nachdem wir nun eine genauere Vorstellung von quadratischen Funktionen der Form haben, können wir uns nun dem Rechnen mit quadratischen Funktionen widmen.
Wie du möglicherweise bereits aus den bisher betrachteten Parabeln erkennen konntest, gibt es quadratische Funktionen, welche die x Achse keinmal, einmal oder sogar 2 mal schneiden.
Diese Schnittpunkte mit der x-Achse nennt man Nullstellen. An diesen Nullstellen hat die Funktion den Funktionswert y = 0.
Du kannst die Nullstellen also aus den jeweiligen Funktionsgraphen ablesen. So sehen wir, dass die erste Funktion keine Nullstellen besitzt und die dritte Funktion genau eine Nullstelle an der Stelle x = 0 besitzt.
Anhand der Grafik der zweiten Funktion können wir zwar ablesen, dass diese zwei Nullstellen besitzt. Den genauen Wert können wir durch das Ablesen hier allerdings nicht genau bestimmen.
Daher benötigen wir eine Möglichkeit zur genauen Berechnung von Nullstellen.
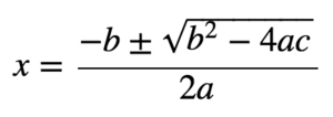
Zur Berechnung dieser Nullstellen benötigst du quadratische Gleichungen. Wir setzen den y-Wert dazu 0.
Nun können wir mit der bereits bekannten a,b,c Formel die Nullstellen der quadratischen Funktion berechnen.
Wenn du dir nicht mehr sicher bist, wie du eine quadratische Gleichung löst, kannst du dir dieses Video bis Minute 5:27 anschauen:
Ausschlaggebend für die Anzahl der Lösungen einer quadratischen Gleichung und damit für die Nullstellen einer quadratischen Funktion ist der Ausdruck unter der Wurzel, die Diskriminante.
- 2 Nullstellen: Unter der Wurzel steht eine positive Zahl.
- 1 Nullstelle: Unter der Wurzel steht 0.
- Keine Nullstelle: Unter der Wurzel steht eine negative Zahl.
Funktion A besitzt 2 Nullstellen: x1 = 0 x2 = 4
Funktion B besitzt 2 Nullstellen: x1 = 1 x2 = 3
Funktion C besitzt keine NullstelleGegeben ist eine quadratische Funktion mit der Funktionsgleichung .
Gegeben ist eine quadratische Funktion mit der Funktionsgleichung .
1) Die Funktion f ist der Form . Gib a, b und c an!
2) Erstelle eine Wertetabelle und zeichne den Graphen von f.
3) Ermittle den Scheitelpunkt der Funktion.
4) Lese die Nullstellen aus dem Funktionsgraphen ab.
5) Ermittle die Nullstellen rechnerisch und vergleiche sie mit deinen abgelesenen Werten.
1)
a = - 1
b = 2
c = 3
2)
3) Scheitelpunkt S = (1|4)
4) Die Funktion besitzt 2 Nullstellen. x1 = -1 und x2 = 3.
5) Rechnerisch mithilfe der abc Formel:
Bilde eine Gruppe mit 2 weiteren Mitschüler*innen. (Suche dazu jemanden, der*die auch gerade das Kapitel Nullstellen bearbeitet)
Jeder von euch wählt nun eine der drei untenstehenden Funktionen.
1)
2)
3)
Ermittelt nun (jeder für seine Funktion) die Nullstellen rechnerisch und grafisch.
Vergleich anschließend eure Ergebnisse.
Was fällt euch auf?
Notiert eure Ergebnisse (zu allen drei Funktionen) in euer Schulübungsheft.
Anwendung quadratischer Funktionen
Der Graph der Funktion f beschreibt die Flugbahn einer Speerspitze bei einem bestimmten Wurf.
x ... horizontale Entfernung vom Abwurfpunkt in m
f(x) ... Höhe über dem Boden bei der horizontalen Entfernung x in m
1) Gib an, aus wie vielen m Höhe der Speer abgeschossen wurde.
2) Berechne die horizontale Entfernung vom Abwurfpunkt, in der die Speerspitze bei diesem Wurf auf dem Boden auftrifft.
1) Der Sperr wurde aus einer Höhe von 1.8m abgeworfen. f(0) = 1.8m
Wir erhalten den Wert auch, indem wir x = 0 in die Funktionsgleichung einsetzen.
2) Horizontale Entfernung = Nullstelle
abc Formel:
Für die Interpretation kommt nur die positive Lösung in Frage:
Der Sperr trifft also nach ca. 72.5 Meter auf dem Boden auf.Die Wurfbahn eines schräg nach oben geworfen Balles kann mit der Funkion: beschrieben werden. x ist die horizontale Entfernung von der Abwurfstelle in Meter h(x) ist die Höhe des Balles in Meter über dem waagrechten Boden.
1) Bestimme und interpretiere h(0).
2) Berechne in welcher waagrechten Entfernung von der Abwurfstelle der Ball wieder auf den Boden auftritt.
3) Bestimmt die Maximale Höhe, die der Ball erreicht.
1) h(0) gibt die Höhe nach 0 Metern an. Das bedeutet die Höhe beim Abschuss = Abschusshöhe. Diese entspricht dem Schnittpunkt mit der y-Achse. (Parameter c = 1.5) Wir erhalten den Wert auch, indem wir x = 0 in die Funktionsgleichung einsetzen.
2) Der Sperr wurde aus einer Höhe von 1.8m abgeworfen.
f(0) = 1.8m
2) Horizontale Entfernung = Nullstelle
abc Formel:
Für die Interpretation kommt nur die positive Lösung in Frage:
Der Ball trifft also nach ca. 6.2 Meter auf dem Boden auf.
3) Die maximale Höhe kann durch den Scheitelpunkt ermittelt werden.
Für die maximale Höhe interessiert uns hier nur der y-Wert.
Die maximale Höhe des Balles ist demnach 2.75 Meter.Im Computerspiel Angry Birds muss man mithilfe einer Schleuder grüne Schweine treffen. Als Wurfgeschoße stehen verschiedene Vögel zur Verfügung.
Der Vogel "Red" sitzt auf seiner Schleuder, 0.5m über dem Boden. Das zu treffende Schwein sitzt im Punkt (11|1.5). Außerdem weiß man, dass "Red" seinen höchste Höhe von 4 m nach 6m erreicht.
Hinweis: Du benötigst dazu die allgemeine Funktionsgleichung einer quadratischen Funktion: und Geogebra (CAS).
1) Bestimme die Funktionsgleichung f(x) die "Red"s Flugbahn beschreibt, damit er das Schwein trifft.
Wenn du Hilfe beim Erstellen des Gleichungssystems brauchst kannst du dir folgendes Video anschauen
Die Punkte
können folgenderweise in die allgemeine Funktionsgleichung eingesetzt werden.
Diese Gleichungen können mit Geogebra im CAS Fenster gelöst werden.
a = -0.1 b = 1.17
c = 0.5Diese Aufgabe ist besonders knifflig und daher freiwillig. Du musst sie also nicht bearbeiten!
Eine einspurige Tordurchfahrt hat die Höhe 5 m und die Bodenbreite 6m. Der Torbogen lässt sich durch eine quadratische Funktion f der Form beschreiben. Dazu musst du den Ursprung des Kooridnatensystems so wählen, dass der Scheitelpunkt auf der y Achse liegt.
In der EU dürfen Lastwägen höchstens 4 m hoch und höchstens 2,55 breit sein. Überprüfe rechnerisch, ob jeder Lastwagen, der diese Vorschriften erfüllt, problemlos durch die Tordurchfahrt durchfahren kann?
Ergebnissicherung: Quadratische Funktionen - alles klar?
Super, dass du es bis hier her geschafft hast!
Du solltest nun eine genauere Vorstellung darüber haben, was quadratische Funktionen sind, wie deren Graphen typischerweise aussehen. Außerdem solltest du über die Parameter a und c Bescheid wissen, den Scheitelpunkt und die Nullstellen quadratischer Funktionen berechnen können.
Um diesen Lernpfad erfolgreich abzuschließen folgt nun nur noch eine letzte Aufgabe!
1) Suche dir dazu 2 oder 3 Mitschüler*innen, mit welchen du zusammenarbeiten möchtest.
2) Wenn ihr euch in einer 3er bzw. 4er Gruppe zusammengefunden habt, könnt ihr euch eine der folgenden Aufgaben aussuchen.
ACHTUNG! Ihr müsst nicht alle Aufgaben erledigen! Sucht euch 1 Aufgabe aus, die ihr gemeinsam bearbeiten wollt.
3) Bearbeitet die Aufgaben ausführlich und vergleicht eure Ergebnisse.
4) Gestaltet ein Lernvideo, in dem ihr eure Vorgangsweise und euren Rechenweg, sowie eure Ergebnisse präsentiert.
(Das Lernvideo sollte höchstens 5 Minuten dauern!).Viel Spaß! :)
Wenn ihr fertig seid, gebt eurer Lehrperson Bescheid!




