Aufgabe 1
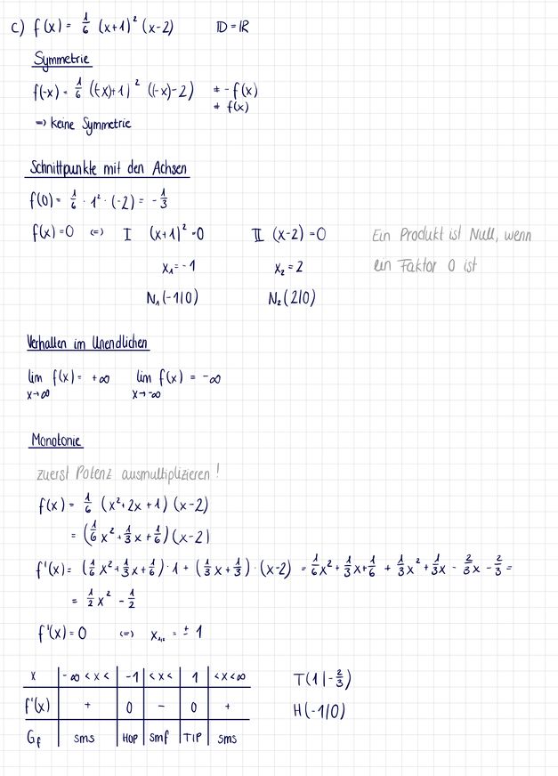
Untersuche die Funktion auf Symmetrie. Bestimme die Schnittpunkte mit den Achsen, ggf. das Verhalten an den Definitionslücken, das Verhalten im Unendlichen und die Extrema. Skizziere anschließend  .
.
a)  
b)  
c)  
 
d)  
 
e)  
 
Überprüfe deine Ergebnisse eigenständig mithilfe von 
GeoGebra 
Aufgabe 2
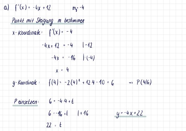
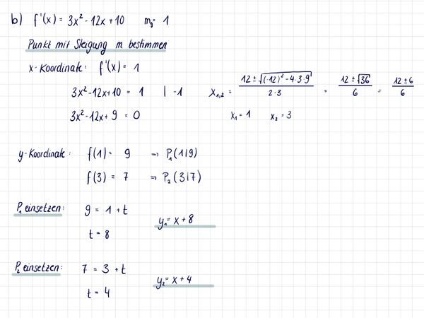
Untersuche die Funktion f soweit, dass du den Graphen skizzieren kannst. Bestimme anschließend graphisch und rechnerisch die Gleichung der Tangente  an den Graphen  , die parallel zur Gerade
, die parallel zur Gerade  verläuft und skizziere diese.
 verläuft und skizziere diese.
a)  ;
;   
b)  ;
;   
Zwei Geraden sind parallel, wenn sie die gleiche Steigung haben. 
Die Steigung der Tangenten in einem Punkt, entspricht der Steigung des Graphen, also der Ableitung, in diesem Punkt. 
Aufgabe 3
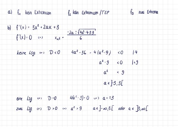
Betrachtet werden die  Funktionen 
 
 
 
a) Stelle den Parameter a jeweils so ein, dass du  bzw.
 bzw.  erhältst. Vergleiche die Anzahl der Extrema der drei Funktionen.
 erhältst. Vergleiche die Anzahl der Extrema der drei Funktionen. 
b) Alle drei Funktionsterme haben die Form  . Für welche Parameterwerte
. Für welche Parameterwerte  besitzen die Funktionen, die diese Form haben, zwei Extrema, einen Terrassenpunkt bzw. kein Extremum? Beweise deine Überlegungen auch rechnerisch.
 besitzen die Funktionen, die diese Form haben, zwei Extrema, einen Terrassenpunkt bzw. kein Extremum? Beweise deine Überlegungen auch rechnerisch. 
 Falls dir das GeoGebra-Applet nicht richtig angezeigt wird, lade die Seite neu.
Überlege, wie sich die Anzahl der Extremstellen in der Ableitung widerspiegelt. 
Bestimme die Ableitung und deren Nullstellen in Abhängigkeit von a. Wähle a so, dass die Ableitung keine, eine bzw. zwei Nullstellen hat.
Aufgabe 4
Aufgabe 5
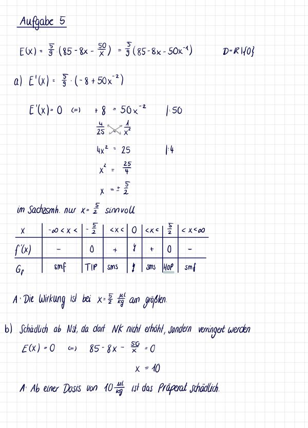
Seit Jahrtausenden wird die Mistel in der Heilbehandlung eingesetzt. In neuester Zeit wird der Mistelwirkstoff Lektin bei der Behandlung von Krebspatienten verwendet. Mistellektine steigern die Anzahl und die Aktivität der NK-Zellen (Natürliche Killerzellen, die direkt an der Tumorabwehr beteiligt sind):  
Die Erhöhung E der Aktivität der NK-Zellen (in %) durch Lektinpräparate hängt entscheidend von der Dosis x (in  pro kg Körpergewicht) ab. Sie kann für
 pro kg Körpergewicht) ab. Sie kann für  näherungsweise durch
 näherungsweise durch  beschrieben werden.
 beschrieben werden.  
a) Bestimme die Dosis, bei welcher die Wirkung am größten ist.  
b) Bestimme die Dosis, ab welcher das Präparat sogar schädlich ist. 
Verdeutliche dir den Graphen mithilfe von 
GeoGebra 
Aufgabe 6
Der Innenbogen des "Gateway-Arch" in St. Louis (USA) lässt sich näherungsweise durch die Funktion 
 (x in m) beschreiben.
 (x in m) beschreiben.
a) Berechne die Höhe und die maximale Breite des Innenbogens.
Schaue dir die Funktion in GeoGebra an und mache dir klar, was der Höhe und der Breite des Bogens entspricht.
b) Bestimme die Größe des Winkels zwischen dem Innenbogen und der Grundfläche.
Dieser Winkel entspricht dem 
Steigungswinkel der Tangente durch die Nullstelle.
c) Bei einer Flugveranstaltung soll ein Flugzeug mit einer Flügelspannweite von 18m unter dem Bogen hindurchfließen. Welche Maximalflughöhe muss der Pilot einhalten, wenn in vertikaler und in horizontaler Richtung ein Sicherheitsabstand zum Bogen von 10m eingehalten werden muss?
 Verdeutliche dir den Sachverhalt an einer Skizze.
Aufgabe 7
Einer der wichtigsten Nährstoffe für Pflanzen ist Stickstoff. Er wird den Pflanzen (neben dem schon im Boden vorhandenen Stickstoff) in Form von Dünger zugegeben. Wissenschaftler fanden heraus, dass der zusätzliche Getreideertrag
 in 100 kg/ha  aufgrund der Zugabe von Dünger sich näherungsweise wie folgt darstellen lässt:
 in 100 kg/ha  aufgrund der Zugabe von Dünger sich näherungsweise wie folgt darstellen lässt:
 mit
 mit  
Für  gilt dabei
 gilt dabei  und
 und  .
.
Was würdest du einem Ökonom für die Zugabe von Dünger empfehlen?
Dein Ziel ist es, dass der zusätzliche Getreideertrag möglichst groß wird. Wie sieht die Entwicklung des zusätzlichen Getreideertrages aus? Bestimme die Parameter a und b und skizziere den Funktionsgraphen.
Wie viel Dünger muss hinzugegeben werden, um einen größtmöglichen zusätzlichen Getreideertrag zu erzielen?
Bestimme das Maximum der Funktion.