Benutzer:Belli489/Nullstellen-quadratische-Funktionen: Unterschied zwischen den Versionen
Markierung: Quelltext-Bearbeitung 2017 |
Markierung: Quelltext-Bearbeitung 2017 |
||
| Zeile 39: | Zeile 39: | ||
{{Lösung versteckt|Alle drei Funktionen beinhalten einen Term mit x<sup>2</sup> und x, aber kein absolutes Glied. Ihre Graphen gehen alle durch den Ursprung und haben noch eine zweite Nullstelle}} | {{Lösung versteckt|Alle drei Funktionen beinhalten einen Term mit x<sup>2</sup> und x, aber kein absolutes Glied. Ihre Graphen gehen alle durch den Ursprung und haben noch eine zweite Nullstelle}} | ||
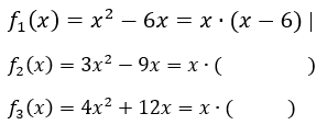
Die oberen drei Gleichungen lassen sich auch anders schreiben, nämlich indem ein x ausgeklammert wird: | |||
[[Datei:Ausklammern2.png|groß]] | |||
Steht eine Gleichung in so einer Form, kann der Satz vom Nullprodukt verwendet werden, um die Nullstellen zu bestimmen. | |||
== Möglichkeit 3: p-q-Formel == | == Möglichkeit 3: p-q-Formel == | ||
Version vom 12. Juni 2019, 09:51 Uhr
Nullstellen kommen in Anwendungsaufgaben zu quadratischen Funktionen sehr oft vor. Deshalb sollt du in den nächsten Stunden verschiedene Lösungsverfahren erarbeiten, mit denen man Nullstellen von quadratischen Funktionen berechnen kann. Dabei wirst du teils Musteraufgaben sehen, wie man Nullstellen berechnen kann, teils sollst du selbst erkennen, wie ein Verfahren funktioniert. Du kannst gerne mit einem Partner zusammenarbeiten.
Folgende Verfahren zur Bestimmung von Nullstellen wirst du kennen lernen:
- direktes Ausrechnen/ Wurzel ziehen
- Ausklammern
- p-q-Formel
- Ablesen aus der Linearfaktordarstellung
Nullstellen berechnen
Du solltest bereits aus der Einheit lineare Funktionen wissen, was man unter Nullstellen versteht.
Nullstellen sind die Schnittpunkte mit der x-Achse!
Man berechnet die Nullstellen, indem man f(x)=0 setzt und die Gleichung nach x auflöst.Denke also bei den folgenden Aufgaben stets daran, dass der erste Schritt immer sein muss, die Funktion =0 zu setzen!
Im Folgenden wirst du vier verschiedene Verfahren kennen lernen, um Nullstellen von quadratischen Funktionen zu berechnen:
- Wurzel ziehen/ direktes Auflösen
- Ausklammern
- p-q-Formel
- Ablesen aus der Linearfaktordarstellung
Möglichkeit 1: Direktes Ausrechnen/ Wurzel ziehen
Schauen wir uns zunächst einmal recht einfache quadratische Funktionen an:
Wichtig bei diesem Verfahren ist, dass du immer daran denkst, dass durch das Wurzelziehen sowohl die positive als auch die negative Zahl eine richtige Lösung ist!
Und nun: Übe das Verfahren!
Möglichkeit 2: Ausklammern
Betrachte die folgenden Funktionsgleichungen und zugehörigen Graphen:
Beschreibe Gemeinsamkeiten bei der Funktionsgleichung und beim Graphen aller drei Funktionen!
Die oberen drei Gleichungen lassen sich auch anders schreiben, nämlich indem ein x ausgeklammert wird:
Steht eine Gleichung in so einer Form, kann der Satz vom Nullprodukt verwendet werden, um die Nullstellen zu bestimmen.


