Benutzer:HWollny/Brüche multiplizieren und dividieren: Unterschied zwischen den Versionen
Aus ZUM-Unterrichten
Keine Bearbeitungszusammenfassung Markierung: 2017-Quelltext-Bearbeitung |
Keine Bearbeitungszusammenfassung Markierung: 2017-Quelltext-Bearbeitung |
||
| Zeile 71: | Zeile 71: | ||
<span class="brainy hdg-checklist01 fa-2x"></span> Kontrolliere deine Lösungen mit den angegebenen Lösungen unter der Aufgabe! | <span class="brainy hdg-checklist01 fa-2x"></span> Kontrolliere deine Lösungen mit den angegebenen Lösungen unter der Aufgabe! | ||
<span class="brainy hdg-book01 fa-2x"></span> <big>'''<u>Aufgabe 2</u>'''</big> | |||
{{Box-spezial | |||
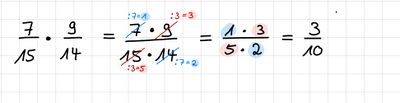
|Titel=<span class="brainy hdg-lamp2 fa-2x"></span> Vorher kürzen | |||
|Inhalt= | |||
Manchmal ist es leichter, vor dem rechnen zu kürzen. | |||
<gallery widths="400" heights="400" style="text-align:left"> | |||
Datei:BmalB.jpg | |||
</gallery> | |||
|Farbe= Üben | |||
|Rahmen= 1 | |||
|Rahmenfarbe= #52A1AD | |||
|Hintergrund= #FFB877 | |||
}} | |||
Version vom 21. November 2022, 20:11 Uhr
Brüche multiplizieren und dividieren – Ein Lernpfad
Die folgenden Übungen bereiten euch auf die Klassenarbeit in der nächsten Woche vor. Ihr benötigt für die Bearbeitung
- einen Stift
- euer Heft
- euer Buch
Erklärung der Symbole:
Diese Aufgaben können online bearbeitet werden.
Diese Aufgaben müssen im Heft bearbeitet werden.
Thema 1: unechte Brüche in gemischte Brüche umwandeln
Wählt die richtige Antwort aus.
Thema 2: Brüche mit ganzen Zahlen multiplizieren
Aufgabe 1: Berechne im Heft. Kontrolliere anschließend mit den angegebenen Lösungen.
a) b) c) d)
Aufgabe 2:Mit welcher Zahl wurde hier multipliziert? Fülle den Platzhalter, indem du die richtige Zahl eintippst.
Aufgabe 3:
Thema 3: Brüche mit Brüchen multiplizieren
Aufgabe 1
Bearbeite im Schulbuch auf der Seite 50
- Nr. 4 d), e) und f)
- Nr. 5 a), b) und c) (Denke hier ans kürzen)
Kontrolliere deine Lösungen mit den angegebenen Lösungen unter der Aufgabe!
Aufgabe 2
