Übungen Funktionsuntersuchung: Unterschied zwischen den Versionen
Keine Bearbeitungszusammenfassung Markierung: Quelltext-Bearbeitung 2017 |
Keine Bearbeitungszusammenfassung Markierung: Quelltext-Bearbeitung 2017 |
||
| Zeile 12: | Zeile 12: | ||
e) <math>f(x)= 2-\frac{5}{2}x^2+x^4</math> <span class="brainy hdg-rocket fa-2x" "></span> | e) <math>f(x)= 2-\frac{5}{2}x^2+x^4</math> <span class="brainy hdg-rocket fa-2x" "></span> | ||
{{Lösung versteckt|Überprüfe deine Ergebnisse eigenständig mithilfe von [https://www.geogebra.org/calculator GeoGebra] |Tipp anzeigen|Tipp verbergen}} | {{Lösung versteckt|Überprüfe deine Ergebnisse eigenständig mithilfe von [https://www.geogebra.org/calculator GeoGebra] |Tipp anzeigen|Tipp verbergen}} | ||
{{Lösung versteckt|[[Datei: | {{Lösung versteckt|[[Datei:1a LSG.jpg|ohne|mini|834x834px]]|Lösung a) anzeigen|Lösung verbergen}} | ||
{{Lösung versteckt|[[Datei:Lösung b.jpg|ohne|mini|791x791px]]|Lösung b) anzeigen|Lösung verbergen}} | {{Lösung versteckt|[[Datei:Lösung b.jpg|ohne|mini|791x791px]]|Lösung b) anzeigen|Lösung verbergen}} | ||
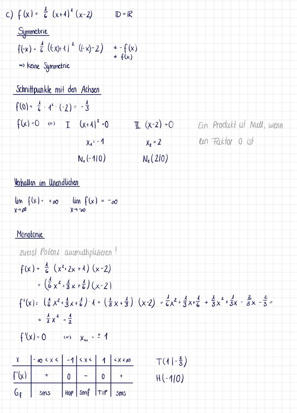
{{Lösung versteckt|[[Datei: | {{Lösung versteckt|[[Datei:1c LSG.jpg|ohne|mini|872x872px]]|Lösung c) anzeigen|Lösung verbergen}} | ||
{{Lösung versteckt|[[Datei:Lösung d.jpg|ohne|mini|600x600px]]|Lösung d) anzeigen|Lösung verbergen}} | {{Lösung versteckt|[[Datei:Lösung d.jpg|ohne|mini|600x600px]]|Lösung d) anzeigen|Lösung verbergen}} | ||
{{Lösung versteckt|[[Datei:Lösung e.jpg|ohne|mini|600x600px]]|Lösung e) anzeigen|Lösung verbergen}} | {{Lösung versteckt|[[Datei:Lösung e.jpg|ohne|mini|600x600px]]|Lösung e) anzeigen|Lösung verbergen}} | ||
Version vom 13. Dezember 2022, 09:50 Uhr
Aufgabe 1
Untersuche die Funktion auf Symmetrie. Bestimme die Schnittpunkte mit den Achsen, ggf. das Verhalten an den Definitionslücken, das Verhalten im Unendlichen und die Extrema. Skizziere anschließend .
a)
b)
c)
d)
e)
Aufgabe 2
Untersuche die Funktion f soweit, dass du den Graphen skizzieren kannst. Bestimme anschließend graphisch und rechnerisch die Gleichung der Tangente
a) ;
b) ;
Aufgabe 3
Betrachtet werden die Funktionen
a) Stelle den Parameter a jeweils so ein, dass du bzw. erhältst. Vergleiche die Anzahl der Extrema der drei Funktionen.
b) Alle drei Funktionsterme haben die Form . Für welche Parameterwerte besitzen die Funktionen, die diese Form haben, zwei Extrema, ein bzw. kein Extremum? Beweise deine Überlegungen auch rechnerisch.
Falls dir das GeoGebra-Applet nicht richtig angezeigt wird, lade die Seite neu.

Aufgabe 4
Aufgabe 5
Der Innenbogen des "Gateway-Arch" in St. Louis (USA) lässt sich näherungsweise durch die Funktion (x in m) beschreiben.
a) Bereichen die Höhe und die maximale Breite des Innenbogens.
b) Bestimme die Größe des Winkels zwischen dem Innenbogen und der Grundfläche.
c) Bei einer Flugveranstaltung soll ein Flugzeug mit einer Flügelspannweite von 18m unter dem Bogen hindurchfließen. Welche Maximalflughöhe muss der Pilot einhalten, wenn in vertikaler und in horizontaler Richtung ein Sicherheitsabstand zum Bogen von 10m eingehalten werden muss?
Aufgabe 6
Einer der wichtigsten Nährstoffe für Pflanzen ist Stickstoff. Er wird den Pflanzen (neben dem schon im Boden vorhandenen Stickstoff) in Form von Dünger zugegeben. Wissenschaftler fanden heraus, dass der zusätzliche Getreideertrag
in 100 aufgrund der Zugabe von Dünger sich näherungsweise wie folgt darstellen lässt:
mit
Für gilt dabei und .
Was würdest du einem Ökonom für die Zugabe von Dünger empfehlen?
